网站首页  词典首页

请输入您要查询的字词:

 

字词 最小平方法
类别 中英文字词句释义及详细解析
释义 最小平方法

又称“最小二乘法”。

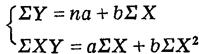
税务预测常用的一种数学预测方法。这种方法的数学根据是实际数值和趋势值的离差和等于零,且实际数值和趋势值的离差平方和为最小值,即,且为最小值。具体做法是,运用时间数列资料,列成联立方程式,求解出参数,配合长期趋势直线模型,建立预测模型,据以预测。其公式为:

式中t为趋势值;X为时间顺序数;a、b为待定参数,可通过解下列方程组求得:

最小平方法适用于税务定量预测。

随便看

 

文网收录3541549条中英文词条,其功能与新华字典、现代汉语词典、牛津高阶英汉词典等各类中英文词典类似,基本涵盖了全部常用中英文字词句的读音、释义及用法,是语言学习和写作的有利工具。

 

Copyright © 2004-2024 Ctoth.com All Rights Reserved
京ICP备2021023879号 更新时间:2025/10/17 20:34:21