有限差分与差商
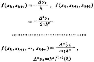
设函数y=f(x)在结点x0<x1<…<xn(常取xk=x0+kh)处的值为y0,y1,…,yn,即f(xk)=yk(k=0,1,2。…n)。 15.2.1 有限差分 向前差分: 一阶向前差分 △yk=yk+1-yk 二阶向前差分 △2yk==△yk+1-△yk …………………………… m阶向前差分 △myk=△m-1yk+1-△m-1yk 向后差分: 一阶向后差分 yk=yk-yk-1 二阶向后差分 ▽2yk=▽yk-▽yk-1 …………………………… m阶向后差分 ▽myk=▽m-1yk-▽m-1yk-1 中心差分: 一阶中心差分 =yk+1-yk 二阶中心差分 δ2yk= - ……………………………… m阶中心差分 δmyk= - (m为偶数) 或δmyk+ =δm-1yk+1-δm-1yk(m为奇数) 三种差分间的关系:▽kyk=△ky0;δ2kyk=△2kyo;δ2k+1yk+ =△2k+1y。 15.2.2 差商(均差) 一阶差商 f(xk,xk+1)= 二阶差商 f(xk,xk+1,xk+2)  若f(x)在〔a,b〕上n次可微,x0,x1,…,xn是〔a、b〕内的(n+1)个不同点,则存在ξ(α<ξ<b)使得  对于等距结点,差分、差商和导数间存在如下关系:  |