有限责任公司的投资管理
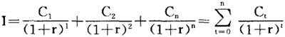
1.有限责任公司的投资原则 有限责任公司的投资原则的确立,是为了更好地协调、统筹管理投资活动,保证公司生产经营的稳步发展。原则具体表现为以下几个方面: (1)微观决策服从宏观决策原则。公司投资决策必须树立局部利益服从整体利益、当前利益服从长远利益的思想,既要考虑公司经济效益,又要以社会经济效益为重。 (2)内涵与外延扩大再生产并重原则。增加人力、设备,扩大公司生产规模固然需要,但挖掘企业潜力,走革新改造之路决不能#。 (3)投资需要与投资可能兼容原则。公司不能只顾投资需要,不顾投资可能,要对投资的需要与可能进行充分的论证分析,取出两者最佳结合点。 (4)正确处理生产性投资和非生产性投资原则。 2.投资方案的审核 公司对投资方案的审核,主要是正确估计投资方案的现金流量和货币的时间价值。现金流量是在一定时期内现金流动的数量,包括现金流出量和流入量,用现金流量审核法主要是考虑现金流入量现值和现金流出量的现值,比较两者差额,决定投资方案是否可取。年金现值审核法则运用公式 (An:普通年金现值;F:每期年金额;i:投资收益率;n:期限)查年金现值表,计算投资的最高限额。此外,从上述两种方法引申出来、比较常见的评价投资方案的方法有: 投资回收期法。计算一个投资方案在多长的时间内公司可以全部收回投资。 内含报酬率法。其公式为:  Ⅰ表示投资额,Ct为t期现金收入;r为内含报酬率。这种方法把未来的现金收入用贴现的方法折算成投资支出的现值数,来审核投资额。 净现值法。就是通过把毛现值减去投资成本来得到净现值,以净现值的大小、正负来评价审核投资方案,其计算公式为:  NPV为净现值,Ct为第t期的现金收入,r为该方案风险投资利益,Ⅰ为投资支出。 评价投资方案的方法很多,但各方案的侧重点不同,所以决策者应根据投资的目标而加以选择,如果为保证投资效益,则应该用各种方法加以审核,这样的投资方案评价则更为全面。 3.投资风险管理 投资风险是指投资收益的不确定性。如果投资决策失误,会给公司生产和经营造成损害,甚至导致公司破产。因此必须进行投资风险管理。影响投资风险的因素主要有:对原材料来源、价格、产品生产方向、市场需求量、技术水平、运输条件等考虑不周,经济信息失真、滞后,投资决策方案缺乏科学的可行性分析,决策者的素质和能力等。因此,投资风险管理首先要加强对上述内容的管理。 投资风险来自两方面,一是财务筹资风险,二是经营风险。财务筹资风险的管理主要是降低筹资成本和控制筹资结构,防止因筹资成本过高,举债过多、负债过重给投资风险存下潜在可能;控制投资风险,则应从公司生产、技术、销售管理等方面下功夫。提倡公司多种经营,以减少风险。 |