朝鲜淫羊藿
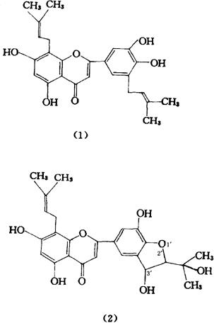
【概况】: 异名 羊藿叶、三枝九叶草、淫羊藿(东北)。 基源 为小檗科淫羊藿属植物朝鲜淫羊藿的全草。 原植物 朝鲜淫羊藿Epimedium koreanum Nakai,又名东北淫羊藿。(《全国中草药汇编》) 形态 常绿多年生草本,高10~40cm。根状茎匍匐,呈结节状,质硬,多须根。 小叶片卵形,先端锐尖,基部心形,边缘锯齿先端成刺毛状,叶柄有关节。花较大,黄白色或乳白色,花轴具关节。 生境与分布 分布于中国东北地区。 。【化学】: 地上部分得到3种黄酮醇葡萄糖甙,分别为4′-甲氧基-5-羟基-8-3,3-二甲基烯丙基黄酮3-葡基(1→2)鼠李糖甙-7-葡萄糖甙(4′-Methoxy-5-hydroxy-8-(3,3-dimethylallyl)flavone 3-glucosyl(1→2)rhamnoside-7-glucoside)、3-二甲苯酰(1→2)鼠李糖甙-7-葡萄糖甙(3-Xylosyl(1→2)rhamnoside-7-glucoside)、3-鼠李糖(1→2)鼠李糖甙-7-葡萄糖甙(3-Rhamnosyl(1→2)rhamnoside-7-glucoside),以及淫羊藿甙(Icariin)[1]。 从该植物中还分得槲皮素(Quercetin)、以及去水淫羊藿素-3-O-α-鼠李糖甙(Anhydroicaritin3-O-α-rhamnoside)[2]。另外还分得两种新化合物,即朝鲜淫羊藿甙(Epimedokoreanoside)Ⅰ和Ⅱ[3]。从地下部分得到淫羊藿新甙A(Epimedoside A)和淫羊藿糖甙A(Ikarisoside A)[4]。得2个新黄酮甙:2″-O鼠李糖基-淫羊藿糖甙A(2″-O-Rhamnosyl icarisoside A)和2″-O-鼠李糖基-淫羊藿甙Ⅱ(2″-O-Rhamnosyl-icariside)[5]。从叶和茎得多种黄酮甙,如4′-甲氧基-5-羟基-8-(3,3-二甲基烯丙基)黄酮3-O-β-D木吡喃糖基(1→3)-4-乙酰基-α-L-鼠李吡喃糖甙-7-O-β-D-葡萄吡喃糖甙,将其制成片剂,可治炎症[6]。 从地上部还分得两个新黄酮成分:朝藿素B(Epimedokoreanin B)(1)、朝藿素C(Epimedokoreanin C)(2)、后者3′-OH和C-2′取代基的构型有待进一步研究[7]。地上部还含淫羊藿新甙C(Epimedoside C)、宝藿甙Ⅰ(Baohuoside Ⅰ)、淫羊藿素(Icaritin)、淫羊藿次甙I(Icariside I)、金丝桃甙和胡萝卜甙[8,9]。  参考文献 [1] CA 1988;109∶3813x [2] CA 1989;110∶13429m [3] CA 1991;114∶3409y [4] CA 1991;115∶68404h [5] CA 1992;116∶67009s [6] CA 1993;118∶P109681d [7] 药学学报 1994;29(11)∶835 [8] 中草药1995;26(9)∶453~455 [9] 中国中药杂志 1993;18(11)∶683 。【药性】: 性味 《新华本草纲要》:“叶:味辛、甘,温。” 功效 补肝肾,益精,祛风湿。 主治 阳痿,风湿痹痈,四肢麻木。 用法用量 内服:煎汤,9~15g。 。【临床应用】: 方选和验方 ❶ 《长白山植物药志》:“治阳痿:朝鲜淫羊藿30g,仙茅15g。水煎服。” ❷ 《长白山植物药志》:“治游走性关节炎:朝鲜淫羊藿25g,威灵仙15g,苍耳子、川芎、桂枝各10g。水煎服。” ❸ 《长白山植物药志》:“治更年期高血压:朝鲜淫羊藿、仙茅、巴戟天、当归各15g,黄柏、知母各10g。水煎服。” ❹ 《长白山植物药志》:“治小儿麻痹症:朝鲜淫羊藿、桑寄生各等分,制成注射液,每次2ml,每日2次肌肉注射。” 单方应用 《长白山植物药志》:“治阳痿,半身不遂:朝鲜淫羊藿500g,白酒5000ml,浸泡月余,每次服20ml。” |