期权定价模型
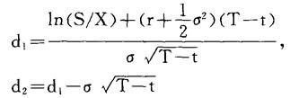
布莱克和斯科尔斯(Black,Scholes,1973)最先给出欧式认购期权均衡价格的公式,从此之后发展了各种各样期权和衍生证券的定价模型。 以欧式认购期权为例,它是一份合约,其中规定对一种指定的资产、指定一个价格X,及一个期权终止时间T。此合约的买方(持有此合约者)有权在时间T以合约事先规定好的价格X购买指定的资产,而合约的卖方(又称写者)有义务以X出售资产。 显然,仅当资产在T时的价格ST>X时,买方才会行使权利,当ST≤X时,他就放弃此种权利。因此,对买方而言,期权在T时的价值为max(ST-X,0)。 期权定价问题就是研究在合约开始时刻,为获得这个权利“合理的”价格是多少?布莱克和斯科尔斯假设资产价格遵从下述随机微分方程 dS=αSdt+σSdω 用F(S,t)记欧式认购期权在t时刻的价值,dω记标准维纳(Wiener)过程的微分,可推出F(S,t)应该服从下述偏微分方程  和边界条件F(ST,T)=max(ST-X,0),其中r是无风险利率。称(1)为布莱克-斯科尔斯期权定价方程。 满足(1)和边界条件的解为 F(S,t)=SN(d1)-Xe-r(T-t)N(d2) (2) 其中  在利用(2)式计算期权价格时,S是t时刻的股票价格,X是合同规定的执行价格,T是终止时刻,r是无风险利率,这些都是公共知道的。惟一不知道的参数是σ,这可以利用此种股票的价格历史资料和其他方法估计出来。 |