网站首页  词典首页

请输入您要查询的字词:

 

字词 松香锅能量平衡及计算方法
类别 中英文字词句释义及详细解析
释义 松香锅能量平衡及计算方法

1.能量平衡方框图

能量平衡方框图说明:体系从进入松香锅蒸汽流量表开始至冷凝水排出,常温物料带入热量不计入,如物料温度超过常温热量应计入。图中符号意义:

Q1——原料加热所吸收的热量,kJ/锅;

Q2——熬胶过程中水分蒸发吸收的热量,kJ/锅;

Q3——松香溶化吸收的热量,kJ/锅;

Q4——新蒸汽供给松香锅熬胶的热量,kJ/锅;

Q5——冷凝水带走热量,kJ/锅;

Q6——管道损失热量,kJ/锅;

Q7——散热损失,kJ/锅。

2.能量平衡及设备热效率计算

(1)熬胶有效总耗热量QYx计算:

QYX=Q1+Q2+Q3(kJ/锅)

❶ 原料(松香、碳酸钠、水)加热所吸收的热量Q1

Q1=Q1a+Q1b+Q1c

其中:

Q1b=GnCa(t2—t1)

Q1b=GnCa(t2—t1)

Q1o=GHCH(t2—t1)

式中:Q1a——松香加热所吸收的热量,kJ/锅;

Gs——松香的重量,kg/锅;

Ca——松香的比热容,kJ/(kg·℃);

Q1b——碳酸钠加热所吸收的热量,kJ/kg;

Ge——碳酸钠的重量,kg/锅;

Ca——碳酸钠比热容,kJ/(kg·℃);

Q1c——加热水所吸收的热量,kJ/锅;

GH——熬胶用水量,kg/锅;

CH——水的比热容,kJ/(kg·℃);

t1——原料的初温,℃;

t2——原料的最高温度,℃。

❷ 松香熬制过程中水分蒸发所吸收的热量Q2

Q2=G2r(kJ/锅)

式中:G2——熬胶过程中水分的蒸发量,kg/锅;

r——水的汽化潜热,kJ/kg。

❸ 松香熔化过程中所吸收的过量Q3

Q3=GsCm(kJ/锅)

式中:Gs——松香的重量,kg/锅;

Cm——松香的熔化热,kJ/(kg·℃);

(2)熬胶有效单位耗热量QYX

(3)供给松香锅实际总耗热量QGG

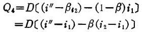
QGG=Q4

冷凝水不回收时:

Q4=D(i″—i1)(kJ/锅)

冷凝水回收时:

式中:D——实际总耗汽量,kJ/锅;

i″——蒸汽热焓,kJ/kg;

i1——水的热焓,其值相当于周围环境温度,kJ/kg;

βi2——冷凝水回收率,%。

(4)熬胶实际单位耗热量QGG

(5)松香锅热效率:

(6)松香锅熬胶过程中热损失Qss

Qss=Q5+Q6+Q7(kJ/锅)

❶ 冷凝水带走热量计算Q5

Q5=G5(i2—i1)(kJ/锅)

式中:G5——冷凝水量,kg/锅;

i2——冷凝水热焓(取冷凝水温度值),kJ/kg;

i1——相当于周围环境温度下水的热焓,kJ/kg;

❷ 管道损失热量Q6

Q6=Qrz×10%=(Q1+Q2+Q3)×10%(kJ/kg)

注:暂以理论总耗汽量的10%计算。

❸ 散热损失Q7

Q7=QGG-(Q1+Q2+Q3+Q5+Q6)

=Q4—(Q1+Q2+Q3+Q5+Q6)(kJ/kg)

随便看

 

文网收录3541549条中英文词条,其功能与新华字典、现代汉语词典、牛津高阶英汉词典等各类中英文词典类似,基本涵盖了全部常用中英文字词句的读音、释义及用法,是语言学习和写作的有利工具。

 

Copyright © 2004-2024 Ctoth.com All Rights Reserved
京ICP备2021023879号 更新时间:2026/5/31 21:03:36