网站首页  词典首页

请输入您要查询的字词:

 

字词 极差控制图
类别 中英文字词句释义及详细解析
释义 极差控制图

简称“R控制图”。

指根据每组数据的极差的大小,以控制产品质量数据的离散程度,分析生产过程(或工序)的稳定性的一种产品质量控制图。通常它与单值控制图或算术平均数控制图互相配合,作为一组同时使用。

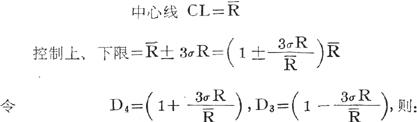
D3和D4数据根据样本容量(n)可查表取得。

随便看

 

文网收录3541549条中英文词条,其功能与新华字典、现代汉语词典、牛津高阶英汉词典等各类中英文词典类似,基本涵盖了全部常用中英文字词句的读音、释义及用法,是语言学习和写作的有利工具。

 

Copyright © 2004-2024 Ctoth.com All Rights Reserved
京ICP备2021023879号 更新时间:2026/1/17 19:17:14