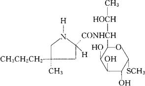
林可霉素[中]
C18H34N2O6S=406.54 CAS-154-21-2 (2S-反式)-甲基6,8-二去氧-6-[[(1-甲基-4-丙基-2-吡咯烷基)-羰基]氨基]-1-硫代-D-赤-α-D-半乳糖-辛基吡喃糖苷。 (2S-trans)-Methyl 6,8-dideoxy-6-[[(1-methyl-4-propyl-2-pyrrolidinyl)carbonyl]amino]-1-thio-Derythro-α-D-galacto-octoyranoside. 甲基6,8-二去氧-6-反式-(1-甲基-4-丙基-L-2-吡咯烷甲酰胺基)-1-硫代-D-赤-α-D-半乳糖-辛吡喃糖苷。 Methyl 6,8-dideoxy-6-trans-(1-methyl-4-propyl-L2-pyrrolidinecarboxamido)-1-thio-D-erythro-α-D-galacto-octopyranoside. 抗生素类药。 洁霉素。 Lincomycin,U-10,149,Lincocin,Lincolnensin,NSC-70731. INN,BAN,USAN.  |