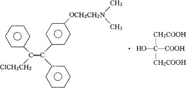
枸橼酸托瑞米芬
C26H28ClNO·C6H8O7=598.09 CAS-89778-27-8 CAS-89778-26-7(toremifene) (Z)-2-[4-(4-氯-1,2-二苯基-1-丁烯基)苯氧基]-N,N-二甲基-乙基胺,,2-羟-1,2,3-丙烷三羧酸(1∶1)。 Ethanamine,2-[4-(4-chloro-1,2-diphenyl-1-butenyl)phenoxy]-N,N-dimethyl-,(Z)-,2-hydroxy-1,2,3-propanetricarboxylate(1∶1). 2-[[对-(Z)-4-氯-1,2-二苯基-1-丁烯基]苯氧基]-N,N-二甲基乙胺枸橼酸盐(1∶1)。 2-[[p-(Z)-4-Chloro-1,2-diphenyl-1-butenyl]phenoxy]-N,N-dimethylethylamine citrate(1∶1). 雄激素拮抗药,抗癌药。 Toremifene Citrate,FC-1157a. INN and BAN(Toremifene),USAN.  |