网站首页  词典首页

请输入您要查询的字词:

 

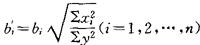
字词 标准偏回归系数
类别 中英文字词句释义及详细解析
释义 标准偏回归系数

在多元线性回归方程中,为了便于各个偏回归系数之间的相互比较,并消除依变数和自变数本身变异或量纲不同的影响而计算出的偏回归系数的相对值。记作bi

随便看

 

文网收录3541549条中英文词条,其功能与新华字典、现代汉语词典、牛津高阶英汉词典等各类中英文词典类似,基本涵盖了全部常用中英文字词句的读音、释义及用法,是语言学习和写作的有利工具。

 

Copyright © 2004-2024 Ctoth.com All Rights Reserved
京ICP备2021023879号 更新时间:2025/10/14 20:13:10