样本容量
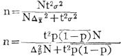
亦称“样本大小”。 指抽样总体所包含单位的数目。如样本中包含几个单位数,则样本容量为n。样本容量有大小之分,包括很多单位的样本,称为大样本;包括很少单位的样本,则称为小样本。小样本理论是英国统计学家戈赛特(William Sealy Gosset)所首创。 大样本和小样本怎样划分,无一定标准,国际统计界的多数学者认为,研究一个单纯项目,抽样总体包含三十个以上的单位时,即可认作大样本,但也有主张以五十或一百个单位作为划分标准。 根据大数法则,样本容量和抽样误差之间有密切关系。 为了避免抽取单位过多或过少,对样本容量应预先加以规定。在一定概率的保证下,使误差局限在允许范围内,即可计算出必需的样本容量。 在重复抽样条件下测定总体平均数或总体成数,必需的样本容量为:  在不重复抽样条件下测定总体平均数或总体成数,必需的样本容量为:  上式n为必需的样本容量,t为概率度,σ为总体均方差,△x和△p为误差范围。 |