桐叶
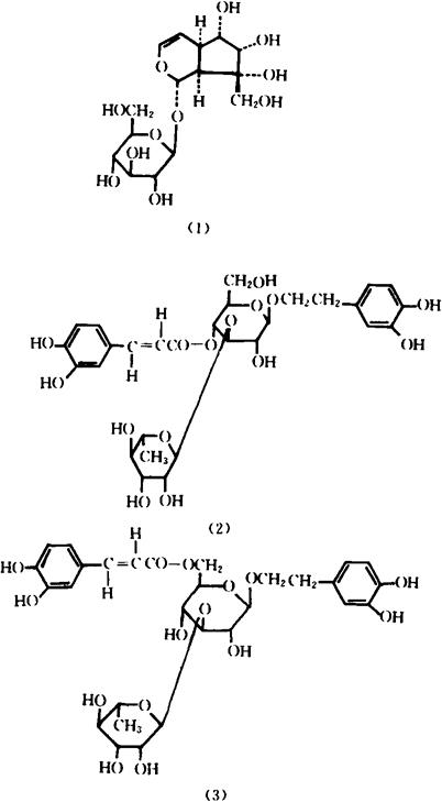
【概况】: 异名 白桐叶(《本草经集注》) 基源 为玄参科泡桐属植物白花泡桐的叶。 原植物 白花泡桐Paulownia fortunei(Seem.)Hemsl. 余项参见“桐皮”条。 【化学】: 含桃叶珊瑚甙(Aucubin)[1]、泡桐甙(Paulownioside)(1)[1],还有毛蕊花甙(Verbascoside)[2](2)及异毛蕊花甙(Isoverbascoside)(3)[2]。 还含Ca 2.41%、P 0.16%、Mg 0.64%、K 0.89%、6.18%的灰分、Fe 700ppm、Cu 13.1ppm、Mn 82.6ppm、Zn 26.4ppm、Al 373ppm、B 35.7ppm、Ni 2.89ppm、Co 1.80ppm、Pb 1.62ppm、Cr 1·61ppm、Na 409ppm及V 1.34ppm[3]。桐木、根皮及叶中有梓醇(Catalpol)[1]。  参考文献 [1] J Nat Prod 1981;44(6):739 [2] Z Naturfurforsch B Anorg Chem Org Chem 1982;37B(12)∶1633 [3] 林产化学工业 1988;8(3)∶44。【药性】: 性味 《本经》:“苦,寒。” 主治 痈疽、疔疮,创伤出血。 ❶ 《本经》:“主恶蚀疮著阴。” ❷ 《纲目》:“消肿毒,生发。” 用法用量 外用:以醋蒸帖、捣敷或捣汁涂。 内服:煎汤,15~30g。。 【临床应用】: 方选和验方 ❶ 江西《草药手册》:“治无名肿毒:桐叶、醉鱼草各15g。捣敷。” ❷ 《补缺肘后方》:“治人须鬓秃落不生长;麻子仁90g,白桐叶60g。米泔煮五、六沸,去滓,洗之。” 单方应用 ❶ 《医林正宗》:“治痈疽发背大如盘,臭腐不可近:桐叶醋蒸贴上。退热止痛,渐渐生肉收口。” ❷ 《河南中草药手册》:“治白喉:霜打泡桐叶30g。水煎,红糖30g冲服。” ❸ 《湖北中草药志》:“治跌打损伤、骨折:鲜泡桐叶适量。捣烂,加酒炒热外敷。” |