棕树叶
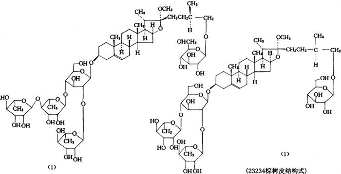
【概况】: 基源 为棕榈科棕榈属植物棕榈的树叶。 原植物 棕榈Trachycarpus fortunei(Hook.f.)H.Wendl.(Chamae rops fortunei Hook.f.;Trachycarpus excelsus Wendl.) 余项参见“棕树心”条。 【化学】: 叶含鞣质[1]以及木犀草素(Luteolin)、木犀草素葡萄糖甙(Glucoluteolin)、木犀草素7-O-芸香糖甙(Luteolin7-O-rutinoside,即洋蓟甙,Scolymoside)、甲基原重楼皂甙b(MeProto-Pb)[2,3]。[注:Pb为薯蓣皂甙元3-O-α-L-鼠李吡喃糖-(1→4)-α-L-鼠李吡喃糖-(1→4)-α-L-鼠李吡喃糖-(1→2)-β-D-葡萄糖甙,来自七叶一枝花Paris polyphylla Smith][4]。  参考文献 [1] 江苏省植物研究所等.新华本草纲要.第1册.上海科学技术出版社,1988∶536 [2] Chem Pharm Bull 1984;32(1)∶295(CA 1984;100∶188754j [3] Chem Pharm Bull 1982;30(9)∶712 [4] Chem Pharm Bull 1973;21∶1240 【药性】: 功效 止血,降血压。 主治 ❶ 《民间常用草药汇编》:“治吐血,劳伤,虚弱。” ❷ 《现代实用中药》:“治高血压,防中风。” 用法用量 内服:煎汤,6~12g。 。【临床应用】: 方选和验方 《现代实用中药》:“治高血压,预防中风:鲜棕榈叶30g,槐花9g。为1日量,泡汤代茶。” 食疗 《湖南药物志》:“治肺痨病:棕榈嫩叶30g,炖猪心肺食。” |