椭圆的参数方程
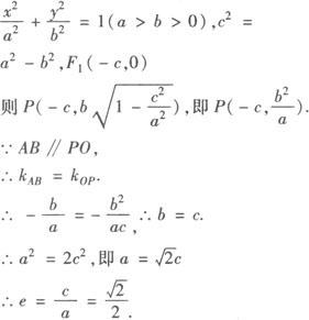
(1) (a>b>0)的参数方程为  (2) (a>b>0)的参数方程为  例1 若椭圆mx2+y2=8与9x2+25y2=100的焦距相等,则实数m为__.  例2 已知F1为椭圆的左焦点,A、B分别为椭圆的右顶点和上顶点,P为椭圆上的点,当PF1⊥F1A,PO∥AB(O为椭圆中心)时,求椭圆离心率. 解 设椭圆方程为  例3 CD是椭圆 (a>b>0)长轴A1A2垂直的弦,求直线A1C与A2D交点M的轨迹方程. 策略 点M从动于C,也从动于D,而点C、D中有一个确定,另一个也相应确定,即点M从动于椭圆上的点C(或点D),所以应以点C的坐标为参数,利用参数法求轨迹方程.  解 设C(acosθ,bsinθ),则D(acosθ,—bsinθ),  两式相乘得  即 (y≠0),即为动点M的轨迹方程. |