模具侧壁的变形
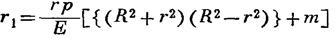
矩形模腔 依据模具的尺寸,此类模具的通常允许最大变形为0.13~0.25毫米(0.005~0.01时),其中0.1~0.2毫米(0.004~0.008时),可能是由于组合模具的模块间的间隙和模框面的伸长的缘故。为了应力设计,常取最大变形为0.025~0.05毫米(0.001~0.002时)。所需侧壁的近似厚度可由下列公式计算之:  式中:y=侧壁的变形(毫米或时) C=常数(见表1-9) p=最大模腔压力(公斤力/厘米2或磅力/吋2) d=模腔总深度(厘米或时) E=钢的弹性模量(2.1×106公斤力/厘米2或30×106磅力/吋2) t=模腔厚度(厘米或时) 表1-9 C值  圆筒形模腔 由于注射物料的内压力而需要增大的半径,可由下式计算:  式中:rt=内半径的增加值(厘米或时) r=原始内半径(厘米或时) R=原始外半径(厘米或时) m=泊松比(钢为0.25) |