2°a=bsinA,一解.
3°bsinA
4°a≥b,一解.
A为直角或钝角时,1°a≤b,无解.
2°a>b,一解.
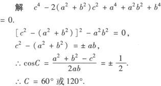
例1 在△ABC中,已知c4—2(a2+b2)c2+a4+a2b2+b4=0,求角C.
分析 将关于三边的等式进行适当变形,利用余弦定理求角.

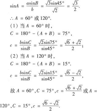
例2 在△ABC中,已知
,
,B=45°,求A、C和c.
分析 这是已知两边一对角解三角形的问题,可用正弦定理求解,但先要判定△ABC是否有解,有几解,亦可用余弦定理求解.
解 ∵B=45°<90°,且b
由正弦定理得

例3 已知圆内接四边形ABCD的边长分别为AB=2,BC=6,CD=DA=4,求四边形ABCD的面积.

解 如图,连结BD,则有四边形ABCD的面积

由余弦定理,在△ABD中
BD2=AB2+AD2—2AB·ADcosA
=22+42—2×2×4cosA
=20—16cosA.
在△CDB中,
BD2=CB2+CD2—2CB·CDcosC
=62+42—2×6×4cosC
=52—48cosC.
∵20—16cosA=52—48cosC,
∵cosC=—cosA,
∴64cosA=—32,cosA=—1/2.
∴A=120°,∴
.