正多面体的种类
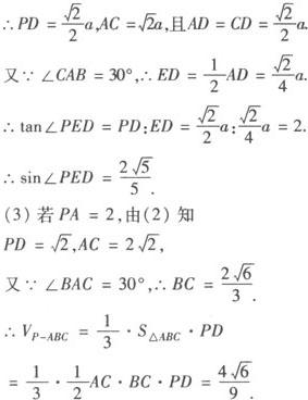
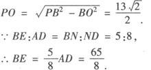
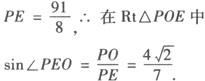
正多面体只能有5种,用正三角形做面的正四面体、正八面体、正二十面体,用正方形做面的正六面体,用正五边形做面的正十二面体. 例1 如下图所示,三棱锥P—ABC中,PA=PC,∠APC=∠ACB=90°,∠BAC= 30°,且平面PAC⊥平面ABC  (1)求证:平面PAC⊥平面PBC. (2)求二面角P—AB—C的正弦值. (3)若PA=2,求三棱锥P—ABC的体积. 解 (1)证明 ∵平面PAC⊥平面ABC,面PAC∩面ABC=AC,又BC⊥AC, ∴BC⊥平面APC, 又∵ ,∴平面PAC⊥平面PBC. (2)过P作PD⊥AC于D,则PD⊥平面ABC,过D作DE⊥AB于E,连结PE. ∵面PAC⊥面ABC,∴PD⊥面ABC. 由三垂线定理知:∴PE⊥AB. ∴∠PED为二面角P—AB—C的平面角. 设PA=PC=a,∵∠APC=90°,  例2 已知正四棱锥P—ABCD的底面边长和各侧棱长都是13,M、N分别是PA、BD上的点,且PM∶MA=BN∶ND=5∶8. (1)求证:MN∥平面PBC. (2)求直线MN与平面ABCD所成角的正弦值.  解 (1)证明 如图所示,连AN并延长交BC于E,连结PE. ∵AD∥BC, ∴△AND~△BNE, ∴EN∶AN=BN∶ND. 又BN∶ND=PM∶MA, ∴EN∶AN=PM∶MA, ∴MN∥PE,又 . ∴MN∥平面PBC. (2)由(1)知MN∥PE, ∴PE与平面ABCD所成的角即MN与平面AC所成的角. 设底面中心为O,连结PO,则PO⊥面AC,连结OE,则∠PEO为PE与底面AC所成角.  又在△PBE中,由余弦定理得:  |