网站首页  词典首页

请输入您要查询的字词:

 

字词 正弦和余弦
类别 中英文字词句释义及详细解析
释义 正弦和余弦

在Rt△ABC中,如果锐角A确定,那么∠A的对边与斜边的比,邻边与斜边的比也随之确定,∠A的对边与斜边的比叫做正弦,记作sinA,即;;∠A的邻边与斜边的比叫做∠A的余弦,记作cosA,即

注意 1.sinA,cosA,tanA是完整的符号,它们分别表示∠A的正弦,余弦,正切,记号里习惯省去角的符号“∠”.

2.如果Rt△ABC中∠C=90°,∠A的对边记作a,∠A的邻边记作b,斜边记作c,那么sinA=a/c,cosA=b/c,tanA=a/b.

3.锐角A的正弦,余弦,正切都是∠A的三角函数.其中∠A是自变量,其取值范围是0°

例1 在Rt△ABC中,∠C=90°

(1)若a=2,b=4,则tanA=__.

(2)若b=3,c=9,则tanB=__.

(3)若,则tanA=__.

(4)若,则∠A的正切值为__.

例2 在Rt△ABC中,∠C=90°

(1),则sinA=__,sinB=__.

(2)若,则∠B的余弦值为__.

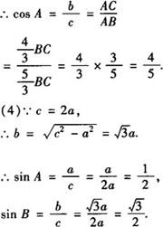
(3)若3AB=5BC,则cosA=__

(4)若c=2a,则sinA=__,sinB=__.

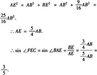
例3 矩形ABCD中,E为BC上一点,F为CD上一点且AE⊥EF,若BE=3/4AB.

求sin∠FEC,cos∠FEC,tan∠FEC.

解 ∵AE⊥EF,

∴∠AEF=90°.

∴∠FEC+∠BEA=90°.

∵矩形ABCD,

∴∠B=90°.

∴∠BEA+∠BAE=90°.

∴∠FEC=∠BAE.

在Rt△ABE中,由勾股定理可得

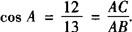
例4 已知:Rt△ABC中,∠C=90°,cosA=12/13,求sinB,cosB,tanB.

解:Rt△ABC中,∠C=90°.

设AC=12k,AB=13k

例5 在Rt△ABC中,各边都扩大10倍,锐角A的正弦值、余弦值、正切值( ).

A.没有变化 B.都扩大10倍

C.都缩小1/10 D.不能确定

答 A.

[解析] sinA=a/c,cosA=b/c,tanA=a/b虽然各边都扩大10倍,但比值不变.

随便看

 

文网收录3541549条中英文词条,其功能与新华字典、现代汉语词典、牛津高阶英汉词典等各类中英文词典类似,基本涵盖了全部常用中英文字词句的读音、释义及用法,是语言学习和写作的有利工具。

 

Copyright © 2004-2024 Ctoth.com All Rights Reserved
京ICP备2021023879号 更新时间:2026/1/17 22:14:27