网站首页  词典首页

请输入您要查询的字词:

 

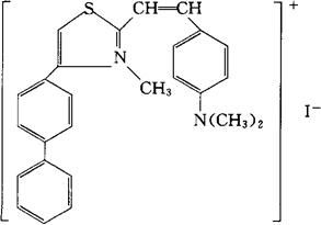
字词 比马碘铵
类别 中英文字词句释义及详细解析
释义 比马碘铵

C26H25IN2S=524.46

CAS-21817-73-2

4-(4-联苯基)-2-[对-(二甲氨基)苯乙烯基]-3-甲基噻唑鎓碘化物。

4-(4-Biphenylyl)-2-[p-(dimethylamino)styryl]-3-methylthiazolium iodide.

驱虫药。

Bidimazium Iodide,65-318.

INN,BAN,USAN.

随便看

 

文网收录3541549条中英文词条,其功能与新华字典、现代汉语词典、牛津高阶英汉词典等各类中英文词典类似,基本涵盖了全部常用中英文字词句的读音、释义及用法,是语言学习和写作的有利工具。

 

Copyright © 2004-2024 Ctoth.com All Rights Reserved
京ICP备2021023879号 更新时间:2025/10/19 14:32:35