网站首页  词典首页

请输入您要查询的字词:

 

字词 毛冬瓜
类别 中英文字词句释义及详细解析
释义 毛冬瓜

【名称出处】:《浙江民间常用草药》

【概况】:

异名 毛花羊桃(《浙江药用植物志》),白洋桃、生毛藤梨(《浙江民间常用草药》),山蒲桃(《福建中草药》),毛藤里公(广西)。

基源 为猕猴桃科猕猴桃属植物毛花猕猴桃的根和叶。

原植物 毛花猕猴桃Actinidia eriantha Benth.(Actinidia davidi Franch.),又名毛花杨桃(《中国高等植物图鉴》)。

形态 大型落叶藤本,长达10m。小枝、叶柄、花序密被乳白色或淡污黄色直展的绒毛或交织压紧的绵毛,后变无毛,具长圆形皮孔。

单叶互生,叶柄短粗,长1.5~3cm;叶片软纸质,卵形至宽卵形,长7~16cm,宽4~12cm。先端短尖至渐尖,基部圆截形至浅心形,边缘具硬尖小齿,上面深绿色,幼时散被糙伏毛或柔毛,下面粉绿色,密被乳白色或淡污黄色星状绒毛。聚伞花序具1~3花,腋生,花序柄长5~10mm;花柄长3~5mm;苞片钻形;花大,直径2~3cm,淡红色;萼片2~3,阔卵形,两面密被绒毛;花瓣5~6,倒卵形,边缘橙黄色,中央和基部桃红色,边缘常蚀状;雄蕊极多,可达240枚,花药黄色,长圆形;子房球形,密被白色绒毛,花柱丝状,多数。浆果蚕茧状,密被不脱落乳白绒毛,宿存萼片反折。

花期5月上旬~6月上旬,果熟期11月。

(图见《中国高等植物图鉴》.第2册.838页.图3406)

生境与分布 生于海拔250~1000m的山谷、溪边或山地的高草灌丛或灌木林中。分布于浙江、江西、福建、湖南、广东、广西、贵州。

【生药】:

采集 根全年可采;叶夏、秋季采收,除杂质,晒干或鲜用。

贮藏 晒干用者置于通风干燥处,根防霉蛀,叶防霉。

【化学】:

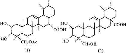
从毛冬瓜根中分出6个成分,其中4个是已知的,它们是β-谷甾醇、胡萝卜甙、乌苏酸和2α,3α,24-三羟基-12-烯-28-乌苏酸。另二个新成分为三萜化合物,命名为毛花猕猴桃酸A(Erantic acid A)(1),为24-乙酰氧基-2α,3α-二羟基-12-烯-28-乌苏酸;毛花猕猴桃酸B(Erantic acid B)(2),为2β,3β,23-三羟基-12-烯-28-乌苏酸。

参考文献 云南植物研究 1988;10(1):93

【药性】:

性味 微辛,凉。

❶ 《福建中草药》:“根:淡、微辛,寒。叶:微苦、辛。”
❷ 《全国中草药汇编》:“微辛,凉。”

功效 清热利湿,活血消肿,解毒。

主治 肺热失音,淋浊,带下,颜面丹毒,淋巴结炎,皮炎,痈疮肿毒。 ❶ 《浙江民间常用草药》:“清热解毒,舒筋活血。治全身疮疖,皮炎,无名肿毒,腹股沟淋巴结炎,跌打损伤。”
❷ 《福建中草药》:“治肺热失音,大头瘟,湿热带下,石淋,白浊,乳痈,胃癌,鼻癌,乳癌。”
❸ 《全国中草药汇编》:“抗癌,消肿解毒。 根:胃癌、乳癌、食管癌,腹股沟淋巴结炎,疮疖,皮炎。 根皮:外用治跌打损伤。 叶:外用治乳腺炎。

用法用量 内服:煎汤,30~60g。 外用:捣敷。

【临床应用】:

单方应用 ❶ 《浙江民间常用草药》:“治无名肿毒:鲜毛冬瓜根捣

烂或加烧酒捣烂,敷患处。”
❷ 《福建中草药》:“治大头瘟(颜面丹毒):毛花杨桃鲜根用第2次米泔水磨浓汁,涂患处。”
❸ 《福建中草药》:“治乳痈:将毛花杨桃鲜叶加酒糟、红糖各少许,捣烂热敷患处。”
❹ 《浙江民间常用草药》:“治腹股沟淋巴结炎:将毛冬瓜根捣烂,拌酒糟煨热外敷患处,每日1次。”
❺ 《浙江民间常用草药》:“治跌打损伤:将毛冬根皮捣烂外敷,另取根30~60g。水煎服。”
❻ 《福建中草药》:“治胃癌、鼻咽癌、乳癌:将毛花杨桃鲜根115g,水煎服;15~20天为1疗程,休息几天后再服。连服4个疗程。”

食疗 ❶ 《浙江民间常用草药》:“治疝气:将毛冬瓜根30g,荔枝60g,鸡蛋2只,加烧酒200ml,水煎。食蛋和药汁。”
❷ 《浙江民间常用草药》:“治全身疖肿,皮炎:将毛冬瓜根200~250g,加猪肉适量同煮。食肉。”

随便看

 

文网收录3541549条中英文词条,其功能与新华字典、现代汉语词典、牛津高阶英汉词典等各类中英文词典类似,基本涵盖了全部常用中英文字词句的读音、释义及用法,是语言学习和写作的有利工具。

 

Copyright © 2004-2024 Ctoth.com All Rights Reserved
京ICP备2021023879号 更新时间:2026/4/18 17:45:55