网站首页  词典首页

请输入您要查询的字词:

 

字词 气体的饱和异常
类别 中英文字词句释义及详细解析
释义 气体的饱和异常

表示海水中的非活性气体在各种物理过程影响下,其浓度偏离溶解度的状况。

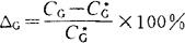
其大小用饱和异常△G表示。它与气体浓度的测定值CG、气体在海水中的溶解度的关系如下:

引起非活性气体饱和异常的物理过程有:
❶ 平衡时与标准大气压的偏离;
❷ 空气泡的部分溶解;
❸ 空气注入;
❹ 微分热和气体交换;
❺ 不同温度水团的混合;
❻ He的放射补充或原生补充。下表汇集了一些气体在特定条件下的△空气

溶解于饱和海水中和在干燥空气中各种气体的克分子分数(f)和每千克海水中注入1立方厘米(在标准温度和压力下)的空气所引起的饱和异常△空气(所有海水的体积都换算成15℃和盐度35时的体积)

随便看

 

文网收录3541549条中英文词条,其功能与新华字典、现代汉语词典、牛津高阶英汉词典等各类中英文词典类似,基本涵盖了全部常用中英文字词句的读音、释义及用法,是语言学习和写作的有利工具。

 

Copyright © 2004-2024 Ctoth.com All Rights Reserved
京ICP备2021023879号 更新时间:2025/10/16 22:29:18