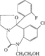
氟他唑仑[中]
C19H18ClFN2O3=376.81CAS-27060-91-9 10-氯-11b-邻-氟苯基-2,3,7,11b-四氢-7-(2-羟乙基)噁唑异(3,2-d][1,4]苯并二氮杂 -6(5H)-酮。 10-Chloro-11b-(o-fluorophenyl)-2,3,7,11b-tetrahydro-7-(2-hydroxyethyl)oxazolo[3,2-d][1,4]benzodiazepin-6(5H)-one. 抗焦虑药,安定药。 氟太唑仑。 Coreminal,Flutazolam. INN,JAN,USAN,MI.  |