氟司哌隆
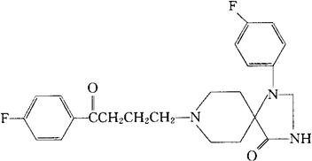
C23H25F2N3O2=413.47 CAS-54965-22-9 1-(4-氟苯基)-8-[4-(对-氟苯基)-4-氧代丁基]-1,3,8-三氮杂螺[4,5]癸烷-4-酮。 1-(4-Fluorophenyl)-8-[4-(4-fluorophenyl)-4-oxobutyl]-1,3,8-triazaspiro[4,5]decan-4-one. 8-[3-(对氟苯甲酰)丙基]-1-对-氟苯基-1,3,8-三氮杂螺[4,5]癸烷-4-酮。 8-[3-(p-Fluorobenzoyl)propyl]-1-(p-fluorophenyl)-1,3,8-triazaspiro[4,5]decan-4-one. 安定药。 氟螺哌隆。 Fluspiperone,R 28,930. INN,USAN. 
|