氟尼缩松
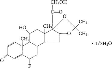
C24H31FO6·1/2H2O=443.51 CAS-77326-96-6 (6α,11β,16α)-6-氟-11,21-二羟-16,17[(1-甲基亚乙基)双(氧)]孕甾-1,4-二烯-3,20-二酮,半水化合物。 (6α,11β,16α)-6-Fluoro-11,21-dihydroxy-16,17[(1-melhylethylidene)bis(oxy)]-pregna-1,4-diene-3,20-dione,hemihydrate. 6α-氟-11β,16α,17,21-四羟基孕甾-1,4-二烯-3,20-二酮环与丙酮形成16,17-乙缩醛,半水化合物。 6α-Fluoro-11β,16α,17,21-tetrahydroxypregna-1,4-diene-3,20-dione cyclic 16,17-acetal with acetone,hemihydrate. 皮质激素类药。 Aerobid,Bronalide,Flunisolide,Nasalide,Syntaris,RS-3999. INN,BAN,DCF,DCIT,JAN,NFN,USAN,USP,MI. 
|