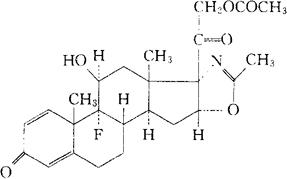
氟扎可特
C25H30FNO6=459.51 CAS-19888-56-3 (5′β,11β)-21-(乙酰氧)-9-氟-11-羟-2′-甲基-5′H-孕甾-1,4-二烯17,16-d噁唑-3,20-二酮。 (5′β,11β)-21-(Acetyloxy)-9-fluoro-11-hydroxy-2′-methyl-5′H-pregna-1,4-dieno 17,16-d oxazole-3,2O-dione. 9-氟-11β,21-二羟-2′-甲基-5′βH-孕甾-1,4-二烯17,16-d噁唑3,20-二酮。 9-Fluoro-11β,21-dihydroxy-2′-methyl-5′βH-pregna-1,4-dieno 17,16-d oxazole-3,20-dione. 肾上腺皮质激素类药,消炎药。 Fluazacort,L-6400,Azacortid.Fluazacortenol Acetate. INN,USAN.  |