氟托溴铵
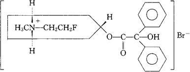
C24H29BrFNO3=478.40 CAS-63516-07-4 (8γ)-8-(2-氟乙基)-3α-羟-1αH,5αH-托烷鎓,二苯乙醇酸盐,溴化物。 (8γ)-8-(2-Fluoroethyl)-3α-hydroxy-1αH,5αHtropanium bromide,benzilate. 8-(2-氟乙基)-3-[(羟二苯基乙酰)氧]-8-甲基-8-氮鎓双环[3.2.1]辛烷溴化物。 8-(2-Fluoroethyl)-3-[(hydroxydiphenylacetyl)oxy]-8-methyl-8-azoniabicyclo[3,2,1]octane,bromide. 抗胆碱药,支气管解痉药。 Flutropium Bromide,Ba 598 Br. INN,USAN.  |