网站首页  词典首页

请输入您要查询的字词:

 

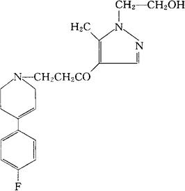
字词 氟普拉酮
类别 中英文字词句释义及详细解析
释义 氟普拉酮

C20H24FN3O2=357.43

CAS-21686-10-2

3-[4-(对氟苯)-3,6-二氢-1(2H)-吡啶基]-1-[1-(2-羟基乙基)-5-甲基吡唑-4-基]-1-丙基酮。

3-[4-(p-Fluorophenyl)-3,6-dihydro-1(2H)-pyridyl]-1-[1-(2-hydroxyethyl)-5-methylpyrazol-4-yl]-1-propanone.

抗高血压药。

Flupranone,GO 1507.

INN,USAN.

随便看

 

文网收录3541549条中英文词条,其功能与新华字典、现代汉语词典、牛津高阶英汉词典等各类中英文词典类似,基本涵盖了全部常用中英文字词句的读音、释义及用法,是语言学习和写作的有利工具。

 

Copyright © 2004-2024 Ctoth.com All Rights Reserved
京ICP备2021023879号 更新时间:2026/1/19 14:44:37