网站首页  词典首页

请输入您要查询的字词:

 

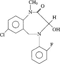
字词 氟替西泮
类别 中英文字词句释义及详细解析
释义 氟替西泮

C16H12ClFN2O2=318.73

CAS-52391-89-6

7-氯-5-(邻-氟苯基)-1,3-二氢-3-羟-1-甲基-2H-1,4-苯并二氮杂-2-酮。

7-Chloro-5-(o-fluorophenyl)-1,3-dihydro-3-hydroxy1-methyl-2H-1,4-benzodiazepin-2-one.

安定药,肌肉松弛药,抗焦虑药。

Flutemazepam.

INN,USAN.

随便看

 

文网收录3541549条中英文词条,其功能与新华字典、现代汉语词典、牛津高阶英汉词典等各类中英文词典类似,基本涵盖了全部常用中英文字词句的读音、释义及用法,是语言学习和写作的有利工具。

 

Copyright © 2004-2024 Ctoth.com All Rights Reserved
京ICP备2021023879号 更新时间:2026/4/17 12:32:47