网站首页  词典首页

请输入您要查询的字词:

 

字词 氟氧喷
类别 中英文字词句释义及详细解析
释义 氟氧喷

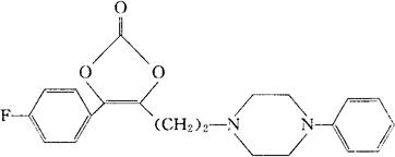
C21H21FN2O3=368.41

CAS-71923-29-0

4-(对-氟苯基)-5-[2-(4-苯基-1-哌嗪基)乙基]-1,3-二氧杂环戊烯-2-酮。

4-(p-Fluorophenyl)-5-[2-(4-phenyl-1-piperazinvl)ethyl]-1,3-dioxol-2-one.

降血脂药。

Fludoxopone.

INN,USAN.

随便看

 

文网收录3541549条中英文词条,其功能与新华字典、现代汉语词典、牛津高阶英汉词典等各类中英文词典类似,基本涵盖了全部常用中英文字词句的读音、释义及用法,是语言学习和写作的有利工具。

 

Copyright © 2004-2024 Ctoth.com All Rights Reserved
京ICP备2021023879号 更新时间:2025/10/15 22:12:38