氟氧头孢
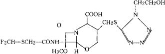
C15H18F2N6O7S2=496.46 CAS-99665-00-6 (-)-(6R,7R)-7-[2-[(二氟甲基)硫代]乙酰胺基]-3-[[[1-(2-羟乙基)-1H-四唑-5-基]硫代]甲基]-7-甲氧基-8-氧代-1氮杂双环-[4.2.0]辛-2-烯-2-羧酸。 (-)-(6R,7R)-7-[2-[(Difluoromethyl)thio]acetamido]-3-[[[1-(2-hydroxyethyl)-1H-tetrazol-5-yl]thio]methyl]-7-methoxy-8-oxo-1-azabicyclo[4.2.0]oct-2-ene-2-carboxylic acid. 抗生素类药。 Flomoxef,6315S. INN,USAN.  |