网站首页  词典首页

请输入您要查询的字词:

 

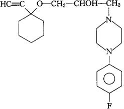
字词 氟西哌嗪
类别 中英文字词句释义及详细解析
释义 氟西哌嗪

C21H29FN2O2=360.47

CAS-54340-64-6

α-[[(1-乙炔基环己)氧]甲基]-4-(对-氟苯基)-1-哌嗪乙醇。

α-[[(1-Ethynylcyclohexyl)oxy]methyl]-4-(p-fluorophenyl)-1-piperazineethanol.

镇咳药,镇吐药。

Fluciprazine.

INN,DCF,USAN.

随便看

 

文网收录3541549条中英文词条,其功能与新华字典、现代汉语词典、牛津高阶英汉词典等各类中英文词典类似,基本涵盖了全部常用中英文字词句的读音、释义及用法,是语言学习和写作的有利工具。

 

Copyright © 2004-2024 Ctoth.com All Rights Reserved
京ICP备2021023879号 更新时间:2026/4/17 12:41:00