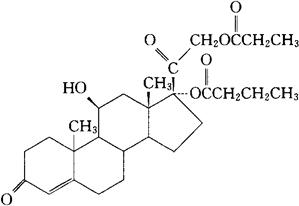
氢可的松丁丙酯
C28H40O7=488.62 CAS-72590-77-3 (11β)-11-羟-17-(1-氧代丁氧基)-21-(1-氧代丙基)-孕甾-4-烯-3,20-二酮。 (11β)-11-Hydroxy-17-(1-oxobutoxy)-21-(1-oxopropyl)-pregn-4-ene-3,20-dione. 11β,17,21-三羟孕甾-4-烯-3,20-二酮17-丁酸酯21-丙酸酯。 11β,17,21-Trihydroxypregn-4-ene-3,20-dione 17-butyrate 21-propionate. 肾上腺皮质激素类药。 丁丙酸氢可的松。 Hydrocortisone Buteprate,TS 408,Hydrocortisone Butyrate Propionate. USAN. 
|