网站首页  词典首页

请输入您要查询的字词:

 

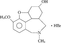
字词 氢溴酸二氢加兰他敏[部]
类别 中英文字词句释义及详细解析
释义 氢溴酸二氢加兰他敏[部]

C17H23NO3·HBr=370.29

抗胆碱酯酶药。

用于脊髓灰质炎后遗症和重症肌无力等。

Hydrogalantamine Hydrobromide.

氢溴酸二氢加兰他敏注射液。

随便看

 

文网收录3541549条中英文词条,其功能与新华字典、现代汉语词典、牛津高阶英汉词典等各类中英文词典类似,基本涵盖了全部常用中英文字词句的读音、释义及用法,是语言学习和写作的有利工具。

 

Copyright © 2004-2024 Ctoth.com All Rights Reserved
京ICP备2021023879号 更新时间:2026/5/21 19:24:36