氢溴酸依他佐辛
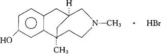
C15H21NO·HBr=312.25 CAS-72150-17-5 CAS-72522-13-5(eptazocine) (-)-(1S,6S)-2,3,4,5,6,7-六氢-1,4-二甲基-1,6-亚甲基-1H-4-苯并偶氮宁-10-醇,氢溴酸盐。 (-)-(1S,6S)-2,3,4,5,6,7-Hexahydro-1,4-dimethyl1,6-methano-1H-4-benzazonin-10-ol,hydrobvomide. (1S)-1,4-二甲基-10-羟基-2,3,4,5,6,7-六氢-1,6-亚甲基-1H-4-苯并偶氮宁,氢溴酸盐。 (1S)-1,4-Dimethyl-10-hydroxy-2,3,4,5,6,7-hexahydro-1,6-methano-1H-4-benzazonine,hydrobromide. 镇痛药。 氢溴酸益大索兴。 Eptazocine Hydrobromide,Sedapain,ST 2121. MI.  |