氢溴酸加兰他敏[典]
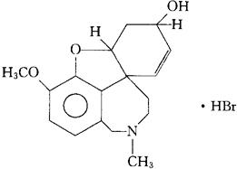
C17H21NO3·HBr=368.27 CAS-1953-04-4 1,2,3,4,6,7,7a,11c-八氢-9-甲氧基-2-甲基苯并呋喃基-[4,3,2-efg][2]苯吖辛因-6-醇的氢溴酸盐。 1,2,3,4,6,7,7a,11c-Octahydro-9-methoxy-2-methylbenzofuro-[4,3,2-efg][2]benzazocin-6-ol hy drobromide. 抗胆碱酯酶药。用于重症肌无力及小儿麻痹后遗症。 Galanthamine Hydrobromide,Nivalin. 氢溴酸加兰他敏片,氢溴酸加兰他敏注射液。 USAN,MI. 
|