网站首页  词典首页

请输入您要查询的字词:

 

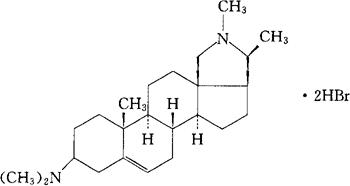
字词 氢溴酸可内新
类别 中英文字词句释义及详细解析
释义 氢溴酸可内新

C24H40N2·2HBr=518.41

CAS-5913-82-6

CAS-546-06-5(conessine)

从Holarrhena antidysenterica Linn′e的种子取得的生物碱。

Alkaloid obtained from the seeds of.Holarrhena antidysenterica Linn′e.

抗原虫药,抗阿米巴药。

二氢溴酸康里新,二氢溴酸康丝碱。

Conessine Hydrobromide.

INN(Conessine),USAN.

随便看

 

文网收录3541549条中英文词条,其功能与新华字典、现代汉语词典、牛津高阶英汉词典等各类中英文词典类似,基本涵盖了全部常用中英文字词句的读音、释义及用法,是语言学习和写作的有利工具。

 

Copyright © 2004-2024 Ctoth.com All Rights Reserved
京ICP备2021023879号 更新时间:2025/12/1 20:13:04