氨曲南
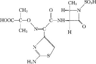
C13H17N5O8S2=435.43 CAS-78110-38-0 [2S-[2α,3β(Z)]]-2-[[[1-(2-氨基4-噻唑基)-2-[(2-甲基-4-氧代-i-磺基-3-氮杂环丁烷基)氨基]-2-氧代亚乙基]氨基]氧]-2-甲基-丙酸。 [2S-[2α,3β(Z)]]-2-[[[1-(2-Amino-4-thiazolyl)-2-[(2-methyl-4-oxo-1-sulfo-3-azetidinyl)amino]-2-oxoethylidene]amino]oxy]-2-methyl-propanoic acid. (Z)-2-[[[(2-氨基-4-噻唑基)[[(2S,3S)-2-甲基-4-氧代-1-磺基-3-氮杂环丁烷基]氨基甲酰基]亚甲基]氨基]氧]-2-甲基丙酸。 (Z)-2-[[[(2-Amino-4-thiazolyl)[[(2S,3S)-2-methyl-4-oxo-1-sulfo-3-azetidinyl]carbamoyl]methylene]amino]oxy]-2-methylpropionic acid. 抗生素类药。 阿兹曲南。 Aztreonam,SQ 26776,Azactam. INN,BAB,USAN,USP. 
|