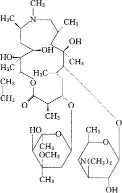
氮杂红霉素
C38H72N2O12=749.00 CAS-83905-01-5 (2R,3S,4R,5R,8R,10R,11R,12S,13S,14R)-13-[2,6-二脱氧-3-C-甲基-3-O-甲基-α-L-己吡喃核糖基)氧]-2-乙基-3,4,10-三羟基-3,5,-6,8,10,12,14-七甲基-11-[[3,4,6-三脱氧-3,-(二甲氨基)-β-D-己吡喃木糖基]氧]-1-氧杂-6-氮杂环十五烷-15-酮。 (2R,3S,4R,5R,8R,10R,11R,12S,13S,14R)-13-[(2,6-Dideoxy-3-C-methyl-3-O-methyl-α-L-ribohexopyranosyl)oxy]-2-ethyl-3,4,-10-trihydroxy-3,5,6,8,10,12,14-heptamethyl-11-[[3,4,6-tri-deoxy-3-(dimethylamino-β-D-xylo-hexopyranosyl]oxy]-1-oxa-6-azacyclopentadecan-15-one. 9-脱氧-9a-氮杂-9a-甲基-9a-高红霉素A。 9-Deoxo-9a-aza-9a-methyl-9a-homoerythromycinA. 抗生素类药。大环内酯类广谱抗菌(含厌氧菌)。 阿齐红霉素,阿红霉素。 Azithromycin,CP-62,993,XZ-450,Sunamed. INN,BAN,USAN. 
|