网站首页  词典首页

请输入您要查询的字词:

 

字词 氯丁唑
类别 中英文字词句释义及详细解析
释义 氯丁唑

又称多效唑。

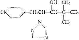
一种高效低毒的植物生长延缓剂和广谱性杀菌剂。分子式为C15H20N3OCl,化学名称是(2RS,3RS)-1-对氯苯基-2-(1,2,4-三唑1-基)-4,4-二甲基戊醇-3。结构式如下。纯品为白色结晶,难溶于水,可溶于氯仿和二氯甲烷等极性有机溶剂。

为赤霉素生物合成的抑制剂,具有延缓植物生长,抑制茎的伸长,促进分蘖,延缓衰老,增强植物抗倒、抗逆能力等效果,也是有效的杀真菌和杀细菌剂。主要通过木质部运输,故以施于土壤为宜。

在农业和园艺上已被广泛应用。

随便看

 

文网收录3541549条中英文词条,其功能与新华字典、现代汉语词典、牛津高阶英汉词典等各类中英文词典类似,基本涵盖了全部常用中英文字词句的读音、释义及用法,是语言学习和写作的有利工具。

 

Copyright © 2004-2024 Ctoth.com All Rights Reserved
京ICP备2021023879号 更新时间:2026/3/22 17:49:50