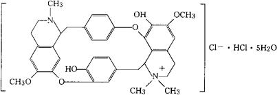
氯化管箭毒素[台]
C37H41ClN2O6·HCl·5H2O=771.73 CAS-6989-98-0 (+)氯化筒箭毒碱的盐酸盐五水化合物。 (+)Tubocurarine chloride hydrochloride pentahydrate. 骨骼肌松弛药。用于全身麻醉辅助药。 氯化筒箭毒碱,氯化管箭毒碱,氯化右旋筒箭毒碱,氯化竹筒箭毒碱,箭毒块茎碱盐。 Tubocurarine Chloride,D-Tubocurarine Chloride,Curarine,Tubarine. 氯化筒箭毒碱注射液(氯化管箭毒碱注射液),氯化管箭毒素注射液(台)。 INN,BP,DCIT,EP,FP,IP,JP,USAN,USP,MI.  |