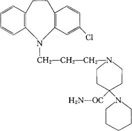
氯卡帕明
C28H37ClN4O=481.08 CAS-47739-98-0 CAS-28085-62-0(hydrochloride) 1′-[3-(3-氯-10,11-二氢-5H-二苯并[b,f]氮杂 -5-基)-丙基][1,4′-联哌啶]-4′-甲酰胺。 1′-[3-(3-Chloro-10,11-dihydro-5H-dibenz[b,f]azepin-5-yl)propyl][1,4′-bipiperidine]-4′-carboxamide. 抗抑郁药。 氯卡比咪嗪。 Clocapramine,Y 4153(as Hydrochloride). INN,USAN,MI.  |