网站首页  词典首页

请输入您要查询的字词:

 

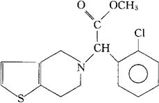
字词 氯吡格雷
类别 中英文字词句释义及详细解析
释义 氯吡格雷

C16H16ClNO2S=321.82

CAS-113665-84-2

(+)-(S)-α-(邻-氯苯基)-6,7-二氢噻吩并[3,2-c]吡啶-5(4H)-乙酸甲酯。

Methyl(+)-(S)-α-(o-chlorophenyl)-6,7-dihydiothieno[3,2-c]pyridine-5(4H)-acetate.

抗凝药,为血小板凝集抑制药。

氯匹多瑞。

Clopidogrel,Tipidyl.

INN,USAN.

随便看

 

文网收录3541549条中英文词条,其功能与新华字典、现代汉语词典、牛津高阶英汉词典等各类中英文词典类似,基本涵盖了全部常用中英文字词句的读音、释义及用法,是语言学习和写作的有利工具。

 

Copyright © 2004-2024 Ctoth.com All Rights Reserved
京ICP备2021023879号 更新时间:2026/4/27 23:56:08