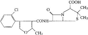
氯唑西林
C19H18ClN3O5S=435.88 CAS-61-72-3 (2S,5R,6R)-6-[3-(邻-氯苯基)-5-甲基-4-异噁唑甲酰胺基]-3,3-二甲基-7-氧代-4-硫杂-1-氮杂双环[3.2.0]庚烷-2-羧酸。 (2S,5R,6R)-6-[3-(o-Chlorophenyl)-5-methyl-4-isoxazolecarboxamido]3,3-dimethyl-7-oxo-4-thia1-azabicyclo[3.2.0]heptane-2-carboxylate. 抗生素类药。为耐酸、耐霉的半合成青霉素。用于对青霉素耐药的葡萄球菌感染。 邻氯苯甲异噁唑青霉素,邻氯西林,邻氯青霉素。 Cloxacillin. 注射用邻氯青霉素,邻氯青霉素胶囊。 MI. 
|