网站首页  词典首页

请输入您要查询的字词:

 

字词 氯尼克辛
类别 中英文字词句释义及详细解析
释义 氯尼克辛

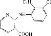
C13H11ClN2O2=262.70

CAS-17737-65-4

2-(3-氯-邻-甲苯胺基)烟酸。

2-(3-Chloro-o-toluidino)nicotinic acid.

镇痛药。

氯尼辛。

Clonixin.

INN,NFN,USAN.

随便看

 

文网收录3541549条中英文词条,其功能与新华字典、现代汉语词典、牛津高阶英汉词典等各类中英文词典类似,基本涵盖了全部常用中英文字词句的读音、释义及用法,是语言学习和写作的有利工具。

 

Copyright © 2004-2024 Ctoth.com All Rights Reserved
京ICP备2021023879号 更新时间:2025/10/17 20:18:19