网站首页  词典首页

请输入您要查询的字词:

 

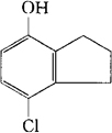
字词 氯茚醇
类别 中英文字词句释义及详细解析
释义 氯茚醇

C9H9ClO=168.62

CAS-145-94-8

7-氯-4-羟-2,3-二氢茚。

7-Chloro-4-indanol.

杀精子药。

氯茚酚。

Chlorindanol,Clorindanol.

INN,NFN,USAN,MI.

随便看

 

文网收录3541549条中英文词条,其功能与新华字典、现代汉语词典、牛津高阶英汉词典等各类中英文词典类似,基本涵盖了全部常用中英文字词句的读音、释义及用法,是语言学习和写作的有利工具。

 

Copyright © 2004-2024 Ctoth.com All Rights Reserved
京ICP备2021023879号 更新时间:2026/5/16 10:37:19