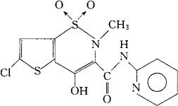
氯诺昔康
C13H10ClN3O4S2=371.81 CAS-70374-39-9 6-氯-4-羟-2-甲基-N-2-吡啶基-2H-噻吩并[2,3-e]-1,2-噻嗪3-甲酰胺1,1-二氧化物。 6-Chloro-4-hydroxy-2-methyl-N-2-pyridyl-2H-thieno[2,3-e]-1,2-thiazine-3-carboxamide1,1-dioxide. 消炎镇痛药。 Lornoxicam,Ro-13-9297,Chlorotenoxicam. INN,BAN,USAN.  |