氯马司汀[中]
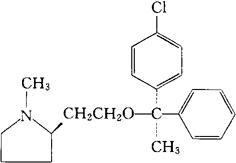
C21H26ClNO=343.90 CAS-15686-51-8 (+)-2(2R)-[2-[(R)-对(4-氯-α-甲基-α-苯基苄基)氧]乙基]-1-甲基吡咯烷。 (+)-(2R)-2-[2-[(R)-p-Chloro-α-methyl-α-phenylbenzyloxy]ethyl]-1-methylpyrrolidine. 抗组胺药。 克立马丁,吡咯醇胺。 Clemastine,Clemanil,Meclastine. INN,BAN,DCF,DCIT,JAN,JP,NFN,USAN,USP,MI.  |