沙匹西林
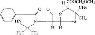
C21H27N3O5S=433.52 CAS-40966-79-8 6-(2,2-二甲-4-苯基-5-氧代-1-咪唑烷基)青霉烷酸甲氧基甲酯。 6-(2,2-Dimethyl-4-phenyl-5-oxo-1-imidazolidinyl)penicillanic acid methoxymethyl ester. (2S,5R,6R)-6-(2,2-二甲基-5-氧代-4-苯基-1-咪唑烷基)-3,3-二甲基-7-氧代-4-硫杂-1-氮杂双环[3.2.0]庚烷-2-羧酸甲氧基甲酯。 (2S,5R,6R)-6-(2,2-Dimethyl-5-oxo-4-phenyl-1-imidazolidinyl)-3,3-dimethyl-7-oxo-4-thia-1-azabicyclo[3.2.0]heptane-2-caeboxylic acid,methoxymethyl ester. 抗生素类药。 沙比西林。 Sarpicillin. INN,USAN.  |