网站首页  词典首页

请输入您要查询的字词:

 

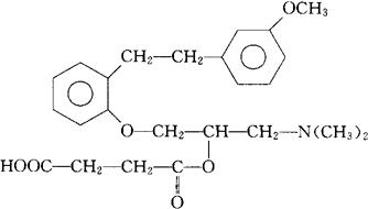
字词 沙格雷酯
类别 中英文字词句释义及详细解析
释义 沙格雷酯

C24H31NO6=429.51

CAS-125926-17-2

(±)-2-(二甲氨基)-1-[[邻-(间-甲氧苯乙基)苯氧]甲基]乙基氢琥珀酸酯。

(±)-2-(Dimethylamino)-1-[[o-(m-methoxyphenethyl)phenoxy]methyl]ethyl hydrogen succinate.

抗血小板聚集药。

Sarpogrelate.

INN,USAN.

随便看

 

文网收录3541549条中英文词条,其功能与新华字典、现代汉语词典、牛津高阶英汉词典等各类中英文词典类似,基本涵盖了全部常用中英文字词句的读音、释义及用法,是语言学习和写作的有利工具。

 

Copyright © 2004-2024 Ctoth.com All Rights Reserved
京ICP备2021023879号 更新时间:2026/4/18 14:39:48