泊替瑞林
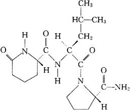
C17H28N4O4=352.43 CAS-78664-73-0 (2S)-N[(1S)-1-[[(2S)-2-氨基甲酰-1-吡咯烷基]羰基]-3-甲丁基]-6-氧代-哌啶酰胺。 (2S)-N[(1S)-1-[[(2S)-2-Carbamoyl-1-pyrrolidinyl]carbonyl]-3-methylbutyl]-6-oxopipecolamide. N-[(6-氧代-2-哌啶基)羰基]亮氨酰脯氨酰胺。 N-[(6-Oxo-2-piperidinyl)carbonyl]leucyloprolinamide. 促甲状腺素释放药。 Posatirelin. INN,USAN. 
|